A Magyar Tudományos Akadémia megújításáért II.
Polgári Szemle· 21. évfolyam 4–6. szám, 2025, 5–29., DOI: 10.24307/psz.2025.0901
Journal of Economic Literature (JEL) kódok: B20, N01
Kulcsszavak: gazdaság- és jogtudományok, MTA, akadémikusi teljesítményértékelés, fejlődés, Magyarország
Közügy, sőt kiemelt nemzeti érdek a hazai tudomány fellegvárának hatékony és objektív működése, ám ez nem valósul meg, különösen a társadalomtudományok területén. A Polgári Szemle társadalomtudományi folyóirat hasábjain így helye van a hibák feltárásának és a javító szándék kifejtésének. Egy nemzeti intézmény esetében ez nem támadás, hanem a jobbító szándék kifejezése. Az akadémikusok tudományos teljesítménye, működésük, az akadémiai utánpótlás objektív, átlátható kiválasztási folyamata az ország érdekeit szolgálná. Egy széleskörű értelmiségi diskurzus bontakozott ki a változtatások módjára vonatkozóan, amely 2025 tavaszán, az MTA 200 éves jubileuma időszakára felerősödött. A feltárt problémák mára a társadalmi közbeszéd szintjére emelkedtek. Az akadémikusi teljesítmények elégtelen volta ma már sokak nem tetszését kiváltja, miközben a magyar tudományosélet a teljesítményhiányos MTA tagok befolyása alatt áll 2, sőt a politikai közbeszédet is igencsak tematizálni akarják 3. A dolgozat bemutatja, hogyan képes egy nem átlátható, nem objektív módon működő gyenge tudományos teljesítényt felmutató MTA a gazdaság versenyképességét gyengíteni, a tudományos utánpótlás minőségét aláásni. Az akadémikusi teljesítményhiány kimutatására az empirikus közelítésen túlmenően konkrét tudománymetriai elemzési módszerek kerülnek alkalmazásra. A dolgozat igazolja, hogy egy teljesítményalapú új Tudományos Akadémiát kell létrehozni, új akadémikusokkal.
Versenyképes gazdaság - Versenyképes tudomány nélkül?
A dolgozat célja, mint az összefoglalóban utaltam rá, hogy megvizsgálja a Magyar Tudományos Akadémia akadémikusainak, különösen a jogász és közgazdász akadémikusoknak a nemzetközi mérőszámokkal mért tudományos teljesítményét, vagyis a tudásuk nemzetközi versenyképességét. A megválaszolandó kérdés, hogy a szakterületi akadémikusok képesek-e hozzájárulni a magyar nemzetgazdaság versenyképességének javításához, ezen keresztül a makrogazdasági és a vállalati hatékonyság fejlesztéséhez. Kiindulási pont, hogy a nemzetgazdaságok fejlődésének alapja a saját versenyképességük javítása, amelyet nemzetközi térben mérünk, miáltal a termékek-szolgáltatások, a munkaerő, a tőke és a pénz szabad áramlása is nemzetközi térben zajlik. Így a „háttér-tudásipar” teljesítményei is csak nemzetközi térben értelmezhetők. Adódik, hogy azok a nemzetgazdaságok, amelyek a termelési és szolgáltatási szektorukat jól meg tudják szervezni, jobban tudják szabályozni, hatékonyan termelnek, így versenyképesek lesznek, jobb, magasabb használati értékű javakat tudnak előállítani, mert mögöttük fejlett tudásipar áll. A mindennapok szintjén a versenyképesség a vállalatokba szervezett munkavállalók képességein, képzettségükön, motivációs rendszerükön és mindezeket koordináló állami jogi szabályozáson, a vállalatirányítás jó módszerein, az állami fiskális-monetáris irányítás hatékonyságán múlik. Technokrata szemléletben közelítve a termelésnek, szolgáltató iparnak vannak fizikai, kémiai biológiai, matematikai, mezőgazdasági alapjai. Ezek az élő- és élettelen tudomány kategóriái, vagyis a műszaki-technológiai, reáltudományi, egészségügyi-orvostudományi területek. És vannak a társadalom- és bölcsészettudományok. A magyar akadémiai rendszerben a 11 akadémiai osztályt alkotó tudományterületből – vizsgálódásunk szempontjából - a Gazdasági és Jogtudományok Osztálya (IX. osztály) a releváns. Vizsgálatomban jobbára e szakterület kerül górcső alá, amely mégis csak az ország, a vállalatok irányítási, menedzselési alapjainak tudományos, kutatási, egyetemi oktatási hátterét adja. Vajon a gazdasági- és jogi tudományos osztály akadémikusai által keletkező tudásvolumen és minőség képes-e a magyar gazdaságra pozitív felhúzó hatást gyakorolni? 4
A Magyar nemzetgazdaság versenyképességéről
A magyar nemzetgazdaság 2010-ben vásárlóerő paritáson számolva (PPP) az Európai Unió 1 főre jutó átlagos GDP-jének a 66 százalékát érte el. Erről a szintről indultunk. 2023-ban 76,1 százalékra emelkedett a teljesítmény, vagyis 10,1 százalékkal nőtt. Ám az EU legjobb mutatókkal rendelkező 5 országában az uniós átlaghoz mérten 130,9 százalékról 142,7 százalékra, vagyis 11,8 százalékkal emelkedett az egy főre jutó GDP. Az EU leggyengébb 5 országában pedig 54,6 %-ról 70,1 %-ra nőtt, vagyis 15,5 százalékos a fajlagos teljesítményemelkedés a közel másfél évtizedes időszakban. Adódik, hogy a legjobbak tovább növelték az előnyüket, a leggyengébbek pedig lassan beérnek bennünket. Az IMD svájci székhelyű nemzetközi versenyképességet mérő intézet már a 2020-as évek elején figyelmeztető adatot közölt Magyarországról. 2022-2023 között a magyar versenyképesség 7 hellyel romlott, míg a hasonló karakterű Lengyelországé 7 hellyel javult. Mi a 46. helyre estünk vissza, míg a lengyelek a 43. helyre jöttek fel. Az IMD hosszabb távú intervallumra vonatkozó adatai még kedvezőtlenebbek. De csak számunkra. A vizsgált 69 ország közül 2021-ben még a 42. helyen álltunk az átfogó értékelésben, de 2025-re már visszaestünk a 48. helyre. Miközben Csehország általános átfogó értékelése a 34. helyről a 25. helyre a felemelkedést, a versenyképesség javulását mutatja. A magyar részletekben elmélyülve: gazdasági fajlagos teljesítményekben a 8. helyről a 41. helyre zuhantunk. A kormányzati hatékonyság megítélésében a 40. helyről a 46. helyre. A magyar vállalatok hatékonysági megítélésében az 56. helyről a 61. helyre. Ezen részterületekből adódik, hogy 6 hellyel romlott az általános magyar versenyképesség.
A cseh gazdaság innovatívabb, mint a magyar. Erősebb a gazdaságuk tudományos-innovációs háttere. A belföldi hozzáadott érték aránya az exportban Magyarországon míg csak 54,1 %, addig a cseheknél 62,3 százalék. Értékesebb munkát tudnak végezni, több hazai hozzáadott értéket tudnak beletenni a hasonló jellegű exportjukba, jobban szervezettek, irányítottak a gazdasági folyamataik. A mérnökeik, noha nem jobbak, de a vállalatok mögött a tudásalapú gazdasági-vezetési tudomány erősebben jelenik meg. Az IMD nemzetközi versenyképesség-mérő intézet az adott országról kiállított képet vizsgálja, adatalapon. Publikációkat, tudományos elemzéseket, szakmai véleményeket szerez be és értékel. Tehát a véleményalapú adatokból mér és állapít meg rangsorokat. Azokat az információkat főképpen rendszerezi, értékeli, amelyeket az ország tudósai folyóiratokban közzétesznek a kormányzati és a vállalati hatékonyságról. Azt vizsgálja az IMD, hogy milyen a kiszámíthatóság, a hatékonyság a közszférában, az állami beavatkozás és a bürokrácia hogyan alakul, a kkv-szektor milyen formában fér hozzá az állami támogatásokhoz, állami innovációs lehetőségekhez. A mesterséges intelligencia fejlesztésére a kormányzat milyen forrásokat biztosít, mekkora értékben. A magyar kormány költségvetési törvényeit megvizsgálva és összevetve a cseh költségvetési adatokkal, mondhatjuk, hogy a hazai kifejezetten állami támogatás centrikus, mind a vállalkozások, mind a családok szempontjából. A cseh nemzetgazdasági adatokból bővebb volumenű támogatáspolitika nem olvasható ki. Képtelenség is lenne, ismerve a magyar kormány bőkezű családtámogatási, gyermekekre vonatkozó adókedvezményi és vállalati támogatási rendszerét. A versenyképességet mérő intézet nyilvános értékelései a nemzetközi hitelminősítők és a pénzügyi-működtőke befektetők döntéseinél is meghatározóak. Ha gyenge, romló egy országról kialakított kép, úgy a befektetések nehezebben jönnek, több letelepedési támogatást kérnek a kormánytól, az államkötvényeket drágábban, magasabb kamaton jegyzik le, amely az adófizetőket terheli. 5
HOL A PROBLÉMA?
Ha már ennyire bőkezű a magyar költségvetés támogatási rendszere, miért ennyire gyenge a versenyképességünk? Ad 1) a tudásvolumen nemzetközi szintű előállítása, és a vele történő gazdálkodás a magyar tudomány „fellegvárában” vitatható színvonalú. Sőt, kifejezetten gyenge. És csak ez a kevéssé színvonalas akadémiai teljesítmény-színvonal tud lecsorogni az egyetemekre, a felsőoktatásban kiképzett szakembereken keresztül pedig a vállalatokhoz.6 Ad 2) ráadásul, az akadémiai limitált képességek főleg a kormányzati gazdaság- és társadalompolitika nemzetközi és belpolitikai térben történő negligálására fordítódnak. A tudás fontosságát a hozzáadott érték termelésében meghatározónak tartom. Ezért kiemelt jelentőségű, hogy egy adott ország tudományos elitje versenyképes legyen. A nemzetközi térben is mérhető tudományos kutatásokkal és azok minőségi nemzetközi (D1, Q1-Q4) folyóiratokban 7 való megjelentetésével komoly problémák vannak Magyarországon. A fejlődés dinamikája alacsony, mind a nemzetközi élmezőnyhöz, mind a hasonló fejlettségű feltörekvő országokhoz, mind a szomszédos országokéhoz képest. 20 év alatt a Magyarországról kikerülő kiemelkedő nemzetközi színvonalú publikációk számát még a 2,5-szeres mértékre sem sikerült feltornázni, noha ebben az MTA tagjainak, az elviekben legmagasabb tudományos besorolással rendelkezőknek kellene az élen járniuk, illetve az általuk vezetett tudományos közegnek. Miközben a magyar akadémikusok alacsony teljesítőképességét szenvedjük, Kínában 1528 %-ra, Kolumbiában 1890 %-ra, Iránban 3983 %-ra, Malajziában 2237 %-ra, Szaud-Arábiában 1896 %-ra emelték a minőségi közleményvolument, a növekményt, és értelemszerűen a mögöttük álló minőségi kutatásokat is. De még Romániában is 554 %-os a növekmény, Csehországban 419 %-os, Törökországban 722 %-os. (Lásd részletesebben az 1. sz. ábrát) 8

Forrás: Scopus, www.scientometrics.org, https://www.scimagojr.com/journalrank.php 2025
És akkor kezdjünk elmélyedni a részletekben! Vizsgáljuk meg a magyar tudomány fellegvárának, a Magyar Tudományos Akadémia 11 osztályba sorolt, különböző tudományterületű akadémikusainak teljesítményeit, ezeken belül kiemelten a jogász és közgazdász akadémikusokét, akik az elemzés fókuszában állnak. Mit adnak ők hozzá a privilegizált, legmagasabban pozícionált és fizetett tudományos helyeztükből adódóan a magyar nemzetgazdaság versenyképességéhez, milyen színvonalú a kutatói teljesítényük?
A vizsgálatba vont akadémikusokra vonatozóan az adatok forrása közhiteles, a Magyar Tudományos Művek Tára és a Scopus nemzetközi tudományos adatbázis. A vizsgálat időpontja az MTMT esetében 2025. 05. 08., míg a Scopus adatok feldolgozása esetében 2025.04. 03. A vizsgált akadémikusok száma az MTMT alapján 332 fő, míg a Scopus alapján 310. A vizsgálati mintavételbe vontak száma a 365 magyar akadémikusnál kevesebb, mert közülük sokaknak az MTMT adatbázisa teljeskörűen nem értelmezhető, vagy ami problematikusabb, a nemzetközi tudományos életnek nem résztvevői, így a Scopus adatbázisban a működésüknek nincs nyoma.
A definíciók vonatkozásában saját cikkekként értelmezhetőek a vezető szerzős (első szerzői helyű), legalább Q nemzetközi rangú közlemények az utolsó öt évből. A nyelv- és irodalomtudományok, továbbá a filozófia- és történelemtudományok esetében nem történt szűrés.
Összes közleményként a szerzőségtől (tehát a publikációnál hányadik szerző az illető) és a Q rangtól függetlenül az összes közlemény száma számított.
Az úgynevezett TOP 1 %-os saját cikkek előfordulása úgy vizsgálható (mármint, hogy rendelkeznek-e egyáltalán ilyen minősítésűvel az akadémikusok), hogy abban az akadémikus vezető szerzős legyen és a TOP 1 % folyóiratokban idézett legyen a cikke. E vizsgálatnál – már előre vélelmezve a gyenge teljesítményt – az utolsó tíz év az elemzésbe bevont időintervallum. Az átlagos %-os output meghatározása úgy történt, hogy a hasonló tudományterületen aktív azonos korú kutatókhoz viszonyultak az akadémikusok. Amikor a magyar nem akadémikus tudósok széles körével vettettek össze az MTA tagjai, ez esetben az MTMT adatbázis alapján, míg abban az esetben, amikor a nemzetközi tudományos élet hasonló aktív korú kutatóihoz mérettettek a magyar akadémikusok, úgy a Scopus adatbázis volt a kiinduló adatbázis.
2. ábra: Akadémiai osztályok akadémikusainak „saját cikkes” (lásd a magyarázó szöveg szerint) közleményeinek száma, 2020-2024

A 2. számú ábrán a jobboldali oszlop mutatja az öt évre vonatkoztatott átlagot, tehát az értéket 5-el kell elosztani, hogy az éves átlagot lássuk. Ez alapaján az MTA tagjai (a 11 osztály egészére vetítve) évente átlagosan kb. 1 db saját cikket publikálnak.
3. ábra: Akadémiai osztályok akadémikusainak „összes szerzős” (lásd a magyarázó szöveg szerint) közleményeinek száma, 2020-2024
4. ábra: A TOP 1%-ban idézett „saját cikkek” száma az utolsó 10 évből, akadémiai osztályonként, 2015-2024

A 4. számú ábrán az N mutatja, hogy hány magasan idézett cikk volt az adott osztályban, a mean pedig, hogy mennyi a tételszám egy akadémikusra. A mean-ok átlaga 0,4 – ami azt jelenti, hogy egy akadémikus 10 év alatt átlagosan 0,4 (darab) ilyen magas szintű cikket írt.
5. ábra: a TOP 1%-ban idézett kollaborációs cikkek szám az utolsó 10 évből, akadémiai osztályonként, 2015-2024,

Az 5. számú ábra a magyar akadémikusok nemzetközi tudományos vérkeringésben való aktivitását mutatná, vagyis a külföldi tudósokkal írt kimagasló minősítésű folyóiratokban megjelenteket, amelyeket a világ legjobb (TOP 1 %-ban szereplő) folyóiratok idéznek. A közgazdasági-jogi, illetve a történelem, irodalomtudomány területén működő akadémikusoknál ez nem mérhető, nem láthatók ilyen cikkek az utóbbi 10 évből.
6. ábra: a többi magyar kutatókhoz viszonyított átlagos akadémikusi publikációs output arány, akadémiai osztályonként (átlag = 50)

Az akadémiai osztályokba sorolt különböző tudományterületű rendes és levelező tag akadémikusok többi magyar kutatóhoz mért teljesítményét illusztrálja a kimutatás, amely szignifikáns többletet nem mutat. Tehát az akadémiai osztályok akadémikusainak teljesítménye az un. országos, teljes tudósállomány átlagától alig tér el.
7. ábra: A magyar akadémikusok világszintű átlagos publikációs outputhoz viszonyítása, akadémiai osztályonként (világátlag = 50)

Nemzetközi tudománymetriai adatbázisokból megállapítható, hogy az MTA teljes tagsága jelentősen gyengébb teljesítményű, mint egy nemzetközi, hasonló státuszú és korintervallumú aktív kutatói állomány. A nemzetközi átlag 39 %-án állnak, vagyis az átlagszínvonal egyharmadán. Tehát az átlagos színvonaltól is kétharmad választja el őket. Hangsúlyozom, a tudományos deficitjük nem a világ legjobbjaihoz számítottan áll fenn, hanem „csak” az átlaghoz. (7. ábra alapján)
A vizsgálat alá vont teljes akadémikusi kör 2020 és 2024 között, tehát öt év alatt átlagosan 1 db saját cikket publikált, azaz olyat, amely esetében az akadémikus a vezető szerző és legalább Q rangú lapban 9 jelent meg (2. ábra alapján). Ez katasztrofálisan kevés. De ha az akadémikusi kör összes közleményét elemezzük, és a vezető szerzőségtől, illetve nemzetközi Q rangú lapokban való megjelentetéstől eltekintünk, úgy egy akadémikus évente mindöszsze 2,2 cikket jelentetett meg (3. ábra). A 2. és 3. ábrák alapján kinyert adatokból levezetve megállapítható, hogy az akadémikusi produktum a kevésbé szorgalmas huszonéves egyetemi tanársegédek szintje, a PhD tanulmányokat folytató hallgatók színvonala. A tanulmányaik befejezéséhez azonban ez az 1 db, illetve 2,2 cikk korántsem elég, hogy PhD doktorok lehessenek, még nekik is többet kell teljesíteniük. A doktori fokozatszerzési eljárásokban ugyanis az aktívan közreműködő, zsűriző akadémikusok ennél többet várnak el tőlük. Mondhatni, többet követelnek meg a PhD-hallgatóktól, mint saját maguktól. Ez így nincs rendjén, mármint az akadémikusokkal.
A 4. számú ábra mutatja azokat az úgynevezett Top 1 %-os, nemzetközileg a legmagasabban minősített szakfolyóiratokat, a bennünk megjelent közleményeket, amelyeket a világban a legtöbbet hivatkoznak, és amelyekben a magyar akadémikusok vezető szerzők (lennének). A magyar akadémikusok itt is igazán kirívóan gyenge teljesítményt produkálnak. A számolás eredménye, hogy egy magyar akadémikus 10 év alatt átlagosan 0,4 cikket írt. Tehát 25 év alatt sikerülhet egy olyan igazán világszínvonalú publikáció, a mögötte álló kutatási eredményt megjelenítve, amely már nemzetközi mércét jelenthetne. Tovább vizsgálva ugyanebben a 10 évben a tudományos osztályokba sorolt akadémikusok teljesítményét, úgy egyre könnyedébben érthetjük meg, hogy Magyarország gazdasági versenyképességének, előbbre jutásának mi is az egyik legfőbb akadálya. A közgazdászokból és jogászokból álló IX. osztály átlagos teljesítménye csak 0,26 tanulmány, azaz egy negyed cikk, vagyis nekik 40 év kell ahhoz, hogy olyan cikket írjanak, amelyet a Top 1 %-ban (kiemelkedő nemzetközi folyóiratokban) idézzenek. Pontosabban olyan minőségű kutatómunkát végezzenek el, amivel a legkiválóbb nemzetközi mezőnybe bekerülhetnének. Megjegyzem, a társadalomtudomány másik meghatározó ága az irodalom- és nyelvtudományok, amely osztály akadémikusai még ennél is kevesebbet, 0,11 kiemelkedő nemzetközi cikket írnak 10 év alatt, vagyis 100 év alatt képesek egy világszínvonalú irodalmi tudományos közleményt megjelentetni. Eszerint 1925- óta magyar irodalomtudósok nemzedékei várták volna a mostaniaktól, hogy legyen legalább 1 darab világszinten ismert cikkük, ám ezt sem sikerült teljesíteniük. De ne legyünk szigorúak, az angol gyepet is állítólag 400 évig kellett locsolni, hogy a fogalommá vált igazi angol gyep legyen belőle.
Persze az irodalom és nyelvtudomány akadémikusain kívül vannak magyar orvos-, fizikus, matematikus és más élő és élettelen tudományhoz tartozó MTA tagok is, akik egy kicsit azért jobban teljesítenek, de hát az összesített átlag a következő: 25 évet kell várni az MTA tagság köréből, hogy a világszintet közelítsék, legalább egy világszínvonalú cikket írjanak.10
A leírtakból következik, hogy a Magyar Tudományos Akadémia akadémikusai a nemzetközi teljesítmény-, illetve tudásversenyben, tudományos életteljesítmény-produktumban és minőségben jelentősen lemaradtak. A hasonló tudományterületeken aktív azonos korú nemzetközi kutatók átlagos teljesítményéhez viszonyítva a magyar akadémikusok 39 százalékon állnak. Vagyis a magyar akadémia tagjai 61 százalékkal gyengébb tudományos teljesítményűek, mint a világátlag. Ismét hangsúlyozom, nem a Top-nál gyengébbek 61 százalékkal, hanem az átlagnál. És mint tudjuk, a versenyképes gazdaság, a versenyképes tudás nem a közepes fejlettséget, nem az átlagos teljesítményt jelenti. A nemzetközi Scopus és MTMT adatbázisok alapján elvégzett vizsgálatok az egyes tudományterületi osztályokra nézve még borúsabb képet festenek. A magyar jogász-közgazdász akadémikusi teljesítmény a világátlaghoz képest 12,17 %-on áll. Az irodalmároké hasonló még, de ők talán a GDP-t annyira közvetlenül nem fejlesztenék, mint a gazdaság- és jogtudományok akadémikusai.
Ha a magyar akadémikusokat az átlagos %-os output alapján vizsgáljuk és más hazai alacsonyabb fokozatú, de hasonló tudományterületű és korú kutatókkal összevetjük (6. számú ábrába foglalt számítások alapján), elmondhatjuk, hogy az eredményeik alig jobbak az országos átlagnál, vagyis az átlagos, hasonló korú nem akadémikus magyar kutatókhoz képest. De emeljük ki az irodalom- és nyelvtudományt művelő akadémikusok színvonalát, amely a szakterületen dolgozó nem akadémikusok átlagát sem éri el, vagyis ők az irodalom- és nyelvtudományokkal foglakozó alacsonyabb tudományos besorolású nem akadémikus kutatók szintje alatt állnak. Adódik a kérdés, akkor miért ők az akadémikusok?
Változóak az egyes akadémiai szakterületi osztályok teljesítményei, azokon belül vannak kimagasló, nemzetközi hírű kutatók is, de ezen kevesek teljesítményeit bizony lehúzzák a gyengén, vagy alig teljesítők. Ám a jog, gazdaság, de az irodalom- és történelemtudományok területén a helyzet változásokért kiállt. A filozófia- és történettudományok akadémikusai a világátlag 25,33 százalékán állnak. Az átlagtól is 75 százalékkal lemaradva. (7. ábra alapján)
AZ MTA IX. OSZTÁLY JOGÁSZ ÉS KÖZGAZDÁSZ AKADÉMIKUSI TELJESÍTMÉNYEINEK MÉLY ELEMZÉSE
Az elemzéshez továbbra is a www.scientometrics.org tudományos projekt kerül alkalmazásra, amely számos nemzetközi publikáción alapszik.11 A cél, hogy az akadémikus kutatókat, illetve tudományterületeket egymással objektív módon vessük össze azáltal, hogy minden egyes kutatót egy közös referenciaadatbázishoz hasonlítunk, amely a hasonló korú, és egyező tudományterületen aktív magyar kutatókat tartalmazza. 31 magyar jogász- és közgazdász akadémikusra vonatkozik az elvégzett elemzés. A könnyebb lekövethetőség végett a módszertant és a kapott eredményeket táblázatos formában teszem közzé.12
Itt kell kiemelni, hogy ha a jogi és közgazdaságtudományi kutatókra vonatkozó mutatószámok kiszámítását (lásd 9. sz. ábra, az elemzés módszertana) összevetjük a természettudományi területek kiválósági mérőszámainak meghatározásával 13, azt láthatjuk, hogy még ezek az eredmények is egy lényegesen nagyvonalúbb számítási módszer eredményei, mint a természettudományi területeken. Tehát valójában a közgazdasági és jogi osztály esetében sokkal kevésbé szigorúan kerültek meghatározásra azok az adatok, amelyek alapján a számítások megtörténtek, azért, hogy látható, összehasonlítható eredményeket mutató grafikonokat lehessen létrehozni.
Az elmúlt öt naptári évben megjelent cikkek számának meghatározásakor ugyanis különböző típusú publikációk kerültek beszámításra különböző területeken. A természettudományi területeken működő kutatók eleget publikálnak ahhoz, hogy a kiválóság bemutatásakor valóban csak az igazán kiválóságot tükröző, Q1-es rangú cikkeket lehessen beszámítani.
Ez nem lehetett megtenni a közgazdaság- és jogtudományok esetében, itt az összes, bármilyen, általában véve Q rangú cikket figyelembe kellett venni, hogy egyáltalán grafikonon ábrázolható adatokat lehessen kapni – tehát a Q3-Q4-es cikkek is beszámítanak az összpublikációk számába, vagyis azok a folyóiratok, amelyekben már frissen PhD-zott fiatal kutatók is magasabbra törnek, ha ambicionálják azt, hogy valamirevaló kutatói ösztöndíjakat nyerjenek, vagy ha tudományos pályájukat a kinevezett professzorság felé képzelik íveltetni. És melyik oktató nem ezt tűzi ki célul? És ehhez képest hányszor hangzik el, hogy a professzorsághoz képest is mennyivel leg-, legebb egy akadémikus?! És akkor még szót sem ejtettünk arról, hogy a társadalom- és bölcsészettudományok esetében lényegében akármilyen közlemény beszámított az összpublikációk számába ennél a vizsgálatnál, nemcsak a Q-s besorolásúak kerültek számbavételre.14
Ugyanígy, a természet- és alkalmazott tudományok esetében (kivéve a matematikusokat) a vezető szerzős (első és utolsó helyű) nemzetközi rangú közlemények súlyozottan beszámítottak, a közgazdaság- és jogtudományok, valamint a társadalom- és bölcsészettudományok esetében azonban – az eleve alacsony teljesítmény okán - a bármilyen szerzős (nem lehet első helyet figyelembe venni, mert az alacsony teljesítmény okán értelmezhetetlenek – áttekinthetetlenek lennének az ábrák) publikációk az utolsó öt évből.
Nem lehet eléggé felhívni arra a figyelmet, hogy ez a sor egyre megengedőbb, csak hogy egyáltalán összevethető adatok születhessenek, tehát hogy a közgazdaságtan és jogtudományok, majd a társadalom- és bölcsészettudományok esetében egyre kevésbé történt meg a szűrés. Ebből is látszik, hogy a tudománymetriai kedvezmények azért kerültek beállításra, hogy egyáltalán figyelembe vehetők legyenek a természet- és alkalmazott tudományterületeken kívüli akadémikusok is.15
8. ábra: a kutatás módszertana, magyarázó tételekkel

9. ábra: az elemzés módszertani váza a org leírása alapján

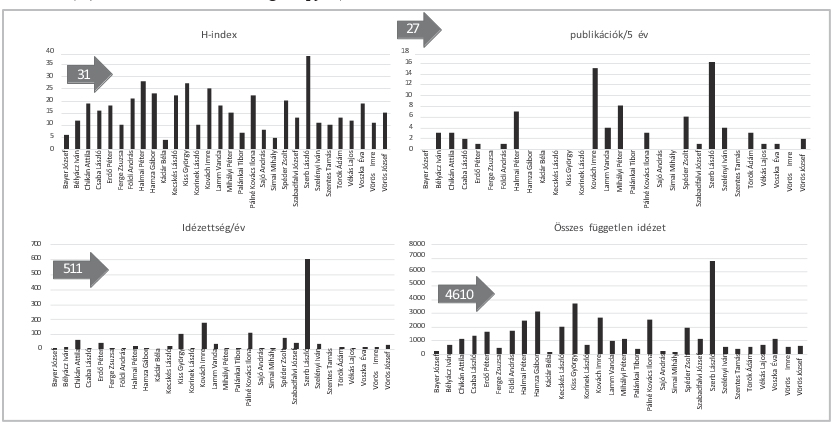
10. ábra: numerikus adatok a osztály akadémikusairól (2024.12.31-i adatokkal)

A jogász és közgazdász akadémikusok személyre lebontott adatai meglehetősen heterogén képet mutatnak a H Indexek, a publikációs, idézettségi és az összes független idézettségi adatok szempontjából, amennyiben egymáshoz viszonyítjuk őket, tehát kutatói kvalitás tekintetében nem egy homogén testületről van szó. A másik kritikus terület azon akadémikusok köre (és a 4/5-ük ilyen), akik mind a hazai, mind a nemzetközi tudományos térben alig vagy teljes mértékben láthatatlanok.16 Számos mutató esetében ez nemcsak az utolsó 5 vagy 10 évre jellemzi őket, hanem egész életteljesítményükben, amelyre a 10-12. ábrák is rávilágítanak. A 2025-ben beválasztott (illetve rendes taggá választott) akadémikusok többségénél pedig – a már bent lévő társaikhoz képest – egy kivételtől eltekintve még kirívóbb a teljesítményhiány, még az utóbbi néhány évre visszatekintve is.
A IX. OSZTÁLY JOGÁSZ-KÖZGAZDÁSZ AKADÉMIKUSAINAK ÉS LENTNER CSABA PROFESSZOR TUDOMÁNYOS TELJESÍTMÉNYADATAINAK ÖSSZEHASONLÍTÓ ELEMZÉSE
2025 tavaszán17, illetve korábban 2016-ban 18 éles kritikával illettem a IX. osztály tagjainak működését, nem konvencionális gazdaságpolitikai tanok elleni támadásukat. A 2016-os konfrontálódásra az adott okot, hogy a kormány, illetve a központi bank új típusú közgazdasági közgondolkodási programját, nem konvencionális gazdaságpolitikáját éles kritikával illették.19 Én az új típusú közgazdasági közgondolkodási program védelmére keltem, amelynek vezető szakértője vagyok. A 2016-os történések kapcsán már szenvedtem el sérelmeket 20, ám tudományos munkám újabb lendületet vett, főleg a nemzetközi térben képes voltam a legmagasabb szintű tudományos folyóiratokban a nemzeti gazdaságpolitika tudományos rendszertanát, működési mechanizmusát elemző dolgozatokat megjelentetni, a mögöttük lévő kutatásokat az általam irányított tudományos műhelyeken keresztül sikerre vinni.21 Tudományos iskolateremtő, nemzeti és nemzetközi térben is kimagasló kutatói és publikációs tevékenységemet a 2012-ben adományozott Wekerle Sándor Tudományos Életműdíj 22 után 2018-ban Magyar Érdemrend tisztikereszttel 23, 2021-ben Magyary Zoltán Közigazgatás-tudományi Emlékéremmel 24 ismerték el, a 2010-es évek közepén a Magyar Bankszövetség javaslatára a Pénzügyi Kultúra Nagykövete 25 lettem. A Nemzeti Közszolgálati Egyetem Teljesítményértékelési Rendszerében (TÉR) a bevezetése óta, professzori kategóriában rendre az első helyezést érem el.Mindezen tudományos előmenetel, vezető kutatói szerep, hazai és nemzetközi elismertség alapján 2021. február 2-án pályázatot nyújtottam be az MTA Állam és Jogtudományi Bizottságához, államtudományi-állampénzügyi témában, az aktív állam-vezérelt pénzügyi irányítás előnyeit bemutatva, a szocialista tervgazdasági és a neoliberális piacgazdasági struktúrákkal összevetve. Egy MTA doktori pályázat lebonyolítása általában egy-másfél év. Esetemben azonban 5 év alatt ez nem történt meg. Részleges bírálati eljárások ugyan történtek, így a habitusvizsgálat során mind a három értékelő jelesre minősítette a munkámat, a komplex habitusvizsgálati pontszám értékemet pedig az elvárt szint 600 százalékán állapította meg az eljáró bizottság, de az 5 éve tartó indokolatlan eljárásiidő tolódás már önmagában is sokat sejtető volt. Éreztem, hogy a neoliberális pénzügypolitika tudományos cáfolata terén vitt munkásságom miatt a pályázatom objektív elbírálására képtelenek lesznek (magyarul: leszámolásra készülnek)26 az MTA IX. osztályának tagjai, és a hozzájuk importált 27 CEU-s, polgári oldalról diszkvalifikált, baloldali-marxista történészek. Időközben a Magyar Tudományos Akadémia jubileumi ünnepi üléséről a jogász és közgazdász akadémikusok testületileg Orbán Viktor miniszterelnök távolmaradását kérték, sőt büntetőjogi felelősségre vonását is kilátásba helyezték közösség elleni uszítás végett.28,29Mindezek alapján arra a döntésre jutottam, magamat az Akadémiáról kirekesztett miniszterelnök sorstársaként értelmezve, hogy a pályázatomat visszavonom. A 72/24/2021/DTT_D számon nyilvántartott pályázatomat visszavonó bejelentésemet az MTA 2025. május 7-én visszaigazolta, vagyis tudomásul vette a visszavonó döntésemet. Az öt év után tett visszalépésemben szerepet játszott az a felismerés, hogy a Magyar Tudományos Akadémia nem képes objektív tudományos alapon döntést hozni 30, s emellett rádöbbentem, hogy a pályázatom bírálatára hivatott IX. osztály tagjainak a zöme teljesítményhiányos, nemzetközi publikációs-tudományos standardok ismeretével nem rendelkezik, azokban nem járatos. Sőt, az akadémikusi tudományos teljesítményeik messze alatta maradnak az én eredményeimnek. Szakmai és etikai értelemben alkalmatlanok a pályázatom elbírálására. Úgy tapasztaltam, hogy az MTA IX. osztály szellemiségével teljesen ellentétes állampénzügyi felfogásom lassítja öt éve az eljárást, s a polgári kormány melletti tudományos-közéleti szerepvállalásom náluk fekete pont.31 Az Akadémián uralkodó állapotok, különösen a társadalomtudományi osztályoknál nem teszik lehetővé az objektív, politika mentes értékelő munkát.32 Egyfajta sértődöttség, hatalom visszaszerzési vágy van a „levegőben”. MTA pályázati (elszámolási, értékelési) más problémák is felmerültek, amelyek tisztázásra várnak,33 a sajátomon kívül. Noha a magyar tudományos élet Akadémián kívüli szegmenseiben vannak igazán kritikus, a problémákat szervezet-önfejlesztő módon megoldani kívánó felelős vezetők is,34 amely példát adhatna az MTA vezetésének.
Tudományos munkámat a visszalépést követően lekicsinylő minősítésekkel illette az MTA vezetése, amelynek ezúton, e fejezetben tudománymetriai összehasonlító elemzés útján kívánom a cáfolatát adni.35 Az elemzést az e dolgozatban alkalmazott www.scientom-etrics.org tudományos rendszer segítéségével végzem el. Az MTMT, Scopus, rendszereket, adatbázisokat használom fel.36 Saját teljesítményemet a IX. osztály akadémikus tagjaiéval vetem össze. A vizsgálat módszertana a 9. ábrában bemutatott logikai váz mentén történik. Az elemzésben a korcsökkentés nem releváns. A vizsgálat 2025.07.25-én történt meg. A feltáró elemzés további módszertani részletei: https://scientometrics.org/updates/files/Tudomanymetria_rovid_leiras_hun.pptx
Az MTA IX. osztály jogász és közgazdász levelező és rendes tagjainak Hirsch Indexét, az utolsó öt év alatt teljesített publikációinak éves átlagszámát, az egy évre jutó idézettségét és az összes független idézettségét összevetettem a sajátommal. Megállapítom, hogy 2020-2024 (2025) időszakában, amikor a pályázatom elbírálás alatt állt, az valamennyi jogász és közgazdász akadémikus tudományos teljesítményét messze meghaladta.
11. ábra: numerikus adatok az akadémikusokról, Vö. Lentner Csaba professzor értéke (2024.12.31-i adatokkal) (www.scientometrics.org alapján)

Az életkor alapján normalizált percentilis (Scopus adatok) alapján a kutatói teljesítményem (Scopus azonostítóm: 56614522100) a pályázati időszakomban az összes akadémikusi pozícióban lévők teljesítményét meghaladja.37 A 12. ábra baloldali mezőjében, eltérő színnel jelölt akadémikusok a Scopus adatbázisban vagy nem találhatók (magyarán nincs nemzetközi publikációjuk), vagy ugyanarra a névre több találat is fellehető, illetve a kutató nem azonosítható. A numerikus adatok (11. ábra) és az életkor alapján normalizált átlagos percentilis számok alapján (12. ábra) személyemre vonatkozóan már adódhat a magas tudományos eredmények vélelme. Ami az MTMT és a Scopus adatbázisok alapján a 13. és 14. ábrákban további kifejtésre is kerül.
12. ábra: Életkor alapján normalizált átlagos percentilis (Scopus adatok alapján, összes tag átlag: 16%*)

13. ábra: az MTMT adatok alapján Lentner Csaba tudományos kiválósági rangsorba állítása

14. ábra: Scopus adatok alapján Lentner Csaba tudományos kiválósági rangsorba állítása

Kiegészítés: A 10. és 11. ábrákban lévő akadémikusi és saját numerikus adatoknál, amelyek az MTMT alapján kerülnek bemutatásra lényeges, hogy az MTMT szerzői adatlap és az összefoglaló táblázat adatai eltérhetnek. A bemutatott számítások a kedvezőbb adatokkal kalkulálnak. Lásd a saját, 15. ábrában lévő, átvett MTMT adatokat, a jobb oldalon. A baloldali rész a scientometrics.org adatbázis alapján számítottak. A Scopus-on belül is biztos, hogy van eltérés attól függően, hogy API-val kérjük le az adatot, vagy a honlapon nézzük meg. Kisebb eltérés tehát így az MTMT esetén is lehet ugyanezen okból.
15. ábra: pontosító adatok az MTMT alapján

A bemutatott tudománymeriai számítások alapján egyértelműen bizonyított, hogy a pályázatomat értékelő osztály akadémikusainak teljesítményét felülmúltam. Az ezt igazoló számítások eredményei amikor már látszódtak, ezért tartottam etikátlannak, hogy olyanok értékeljenek, akiknek a teljesítményét messze felülmúlom.
Az Akadémia megújításáért vitt küzdelemben a teljesítményhiányos akadémikusokkal szemben nem vagyok egyedül, széles polgári értelmiségi réteg osztja a gondolataimat, Schmidt Mária, Pokol Béla, Lánczi András és más professzorok.38 A jelenlegi közéleti megnyilvánulások előtti évtizedekben az MTA reformjának szükségessége akadémikusok,39 és más vezető professzorok részéről is felmerült, ám ezen javaslataik érdemi eredménnyel máig nem jártak.40 Polgári oldalról ezért is láttuk szükségességét 2025 tavaszától, hogy az MTA-problémát a tudományos- és társadalmi közéletben erősebben exponáljuk.
KIS MAGYAR KÖRKÉP – 2 KONKRÉT ESETTANULMÁNYON KERESZTÜL
A további kontraszt érzékeltetésére bemutatom, hogy kik a preferált MTA tagjelöltek, két esettanulmányon keresztül. Előre bocsátom, hogy tudománymetriai adatokkal mélyebb számításokat nem végzek e két jelöltre, mindössze az MTMT alapján az alacsony numerikus adataikra utalok, az összefoglaló táblázataik alapján, az enyémmel összevetve41 , de főleg annak jártam utána, hogy az MTA akadémikusainak neoliberális szellemiségével milyen mértékben mutatnak átfedettséget. A IX. osztály akadémikusainak tudományos teljesítményét messze felülmúlóként hangsúlyozom azonban, hogy nem az én teljesítményem a releváns, hanem az akadémikusoké és az új tagjelölteké. Miért nincs nekik megfelelő tudományos tel- jesítményük? Erre kellene, hogy választ adjanak, nem pedig azzal foglalkozzanak, hogy a személyemet 2016 után 2025-ben is újra lejáratják.
Véletlenszerű mintavétellel tehát két magyar akadémikusjelölt tudományos publikációs tevékenységét vizsgáltam meg a IX. osztályból abból a célból, hogy az ország nemzetközi versenyképességét, jó hírét, a kedvező befektetői döntések előidézését mennyiben szolgálják. Vizsgáltam azt, hogy kutatásaik mennyire tudományosak, világszínvonalúak. Tettem ezt azért is, mert ugyan a IX. osztály akadémikusainak kétharmada nemzetközi térben mérhető tudományos munkát nem folytat, gyengébbek 87,83 százalékkal a világ átlagos szintjénél, de azt reméltem, hogy a jelöltek, az utánpótlás talán aktívabb, eredményesebb.
Akadémikusjelölt 1. A korlátlan politikai hatalom (félre) használatával foglalkozik, értsd a magyar gazdasági kormányzással összefüggésben, sőt, kifejezetten arra vonatkozóan. Még pontosabban a 2010 utáni gazdasági irracionalitásokkal, gazdasági populizmussal, már ami a jelen viszonyainkat illeti, őszerinte, az ő szemszögéből. Veretes gondolatai köre a gulyáskommunizmusból a gulyáspopulizmusba való zuhanás. A szocialista tervgazdaság és a polgári kormány gazdaságpolitikája közötti párhuzamokat vázolja. Szerinte diktatúra mindkettő, a hatalommal való visszaélés. Körülötte egy kutatói csoport formálódott, akik hasonló, az ország megítélésére kedvezőnek nem mondható stílusban, sokszor a tudományos terminológiát mellőző módon írnak. A mintaként kiválasztott jelölt ért el eredményeket. Jó esélye van, hogy az MTA tagja legyen. Külföldön is hivatkozták, olvasták már mintegy 200-an, így a magyar kormányt populizmussal, korlátlan hatalomvággyal, helytelen gazdaságpolitikával illető nézeteit a svájci IDM hitelminősítő is érdeklődve fogadhatta. A HUN-REN Magyar Kutatási Hálózatban dolgozik, továbbá, a Corvinus Egyetemen főállásban, és a Nemzeti Közszolgálati Egyetemen, ahol 2020-tól kiemelt ösztöndíjú kutatóprofesszor. Volt, illetve van lehetősége, hogy a közgazdász és államtudományi hallgatók ezreit tanítva befolyásolja a tanain, könyvein keresztül. A CEU-hoz több szálon kötődött. A független módszerű és eredményt generáló kutatómunka joga megilleti az akadémikusjelöltet, de hogy ez miért történik háromszoros állami finanszírozásban, az adófizetők pénzéből? Logikus, elfogadható választ, magyarázatot nem látok. Költségvetési forrásból miért támogatják országimázs romboló tevékenységét? Talán az esettanulmányban szereplő akadémikusjelölt felettesei, kutatóintézet igazgatói erről bővebb felvilágosítást adhatnak, de elgondolkodhatnának a saját felelősségükön is. A jelölt 196 tudományos dolgozattal rendelkezik, amelyre összesen 1221 hivatkozás történt. Külföldön, idegen nyelven szakfolyóiratban 19 cikket publikált, melyekre 229 hivatkozás történt. H Indexe 14-es.
Akadémikusjelölt 2. Kutatási területe napjaink magyar valósága, amelyet ő populizmussal és tekintélyelvű jelzőkkel illet. Írásai sok esetben, még ha az MTA akadémikusok által legjobb hazai kategóriába gondolt magyar nyelvű folyóiratokban jelennek is meg, inkább tudománynépszerűsítőek. Ezer szállal kötődik a magyar kormány gazdaság- és tudománypolitikáját belföldön és külföldön kritizáló liberális értelmiségi körhöz. Sőt, maga is emblematikus alakja e csoportnak. Ugyancsak a CEU-hoz kötődött. Tiltakozott a kutatási hálózat MTA alóli kiszervezése miatt, Orbán Viktor miniszterelnököt elmarasztalók, a 200. jubileumi akadémiai közgyűléstől távol tartók egyike. Akadémiai bizottsági elnök. Fő harcosa az akkumulátorgyárak magyar gazdaságból való kiiktatásának. Noha tudjuk, hogy ez egy kényszer, de az akkumulátorgyárak Magyarországra hozása mégis csak segít a foglakoztatáson, ha alacsony szinten is, de hozzáadott értéket termel, nemzetközi termelési láncba kapcsol bennünket. Azzal a szemponttal pedig nem foglalkozik az akadémikus jelölt, hogy miért nem igényesebb, magasabb hozzáadott értékű külföldi működőtőke jön be az országba. Noha a választ tudhatná, akadémikus jelölt 1-gyel egyetemben, miszerint a gazdasági tudományos életet évtizedeken át liberális körével egyetemben nem engedték a megfelelő irányba fejlődni, ezzel a vállalati-államháztartási körbe, de főleg a családokhoz, a korszellemhez nem illeszkedő nézetek, módszerek lekerülését (átfolyását) évtizedek óta gátolják. Még a villanyszerelők lapjában is megosztja gondolatait. Nemzetközi tudományos elismertsége az MTMT adatbázis szerint ugyan már mérhető, de a külföldi szakfolyóiratokban megjelent írásaira a hivatkozók kétharmada az egyetemi szobatársaiból, liberális magyar eszmetársaiból kerül ki. Jó esélye van – ha fennmaradnak ezek a torz akadémiai viszonyok -, hogy akadémikus legyen. A jelölt 125 tudományos dolgozattal rendelkezik, amelyre összesen 861 hivatkozás történt. Külföldön, idegen nyelven szakfolyóiratban 12 cikket publikált, melyekre 160 hivatkozás történt (mint utaltam rá a magyar kollégáitól a kétharmada). H Indexe 14-es.
Nyilván nem okozott meglepetést az olvasóban, hogy az MTA IX. osztályának akadémikusi teljesítményeit messze felülmúlom, úgy az sem fog a meglepetés erejével hatni, hogy az akadémikusnak jelöltekét még annál is többszörösebben. 594 tudományos dolgozattal rendelkezem, amelyre összesen 4065 hivatkozás történt. Külföldön, idegen nyelven szakfolyóiratban 53 cikket publikáltam, melyekre 1112 hivatkozás realizálódott. H Indexem 35-ös. Lényeges azonban, hogy jómagam csak az akadémikusság előszobájába akartam belépni, míg a bemutatott akadémikus jelöltek közül az első 4 éve, a második pedig 10 éve már MTA doktorok, tehát 4, illetve 10 éve már az akadémikusság előszobájában vannak. Én pedig az előszobából is visszalépni kényszerültem, a rám nehezedő politikai nyomás következtében. Esetem világosan rávilágít, hogy Magyar Tudományos Akadémia működése alkotmánysértő, a tudományos kutatók objektív elbírálását, a tudomány szabadságát nem biztosítja.
Summázva e fejezetet, a magyar gazdasági és társadalmi versenyképesség alakításával, szervezésével, szabályozásával kapcsolatos Gazdaság és Jogtudományok Osztályának közössége, akadémikusai, és a kontraszelektivitás által oda előbb-utóbb bekerülők, bizony nem szolgálják átfogóan Magyarország előbbre jutását, ők nem feltétlenül a legjobbak. Nem igazodnak a magyar nemzetgazdaság gyakorlatához, a gazdaságpolitikai váltáshoz. Hát ezért is kerül Magyarország egyre hátrább a nemzetközi versenyképességi rangsorokban. Ezért vannak EU-s kötelezettségszegési eljárások, európai bírósági perek ellenünk. Ezért van a magyar társadalom és vállalkozói kör meghatározó részében ellenállás, ellenszenv a magyar kormány politikájával szemben.42
A Magyar Tudományos Akadémia jelenlegi formájában alkotmányellenesen működik. Noha a magyar Alaptörvény (2011. évi CXIX.) védi a Magyar Tudományos Akadémia tudományos szabadságát, ám az MTA nem biztosítja a tudományos szabadságot. A tudományos eredmények megítélését, az MTA-ra pályázó MTA doktorok és akadémikus jelöltek pályázatait nem átlátható és nem teljesítményalapon értékeli. Az akadémiai tudományos térbe nem engedi be a másként gondolkodó kutatók tudományos eredményeit, azokat nem legalizálja.
Az akadémikusok teljesítményhiánya, nemzetközi tudományos életben való láthatatlansága és politikai prioritásokat, magánérdekeket képviselő döntési-pályázati mechanizmusa nem teszi lehetővé a magyar tudomány fejlődését. Ezért Magyarország törvény által szabott legfőbb tudományos intézményében a Magyar Tudományos Akadémián az elmaradt rendszerváltást végre kell hajtani, új Akadémiai Törvényt kell alkotni.
- Az MTA teljes tagságát tudományos teljesítményeik szempontjából felül kell vizsgálni. Azokat az akadémikusokat és MTA doktorokat, akik az elvárt nemzetközi tudományos normákat nem érik el, akadémiai tagságuktól meg kell fosztani, egyidejűleg a méltatlanná vált akadémikusok számára az emeritus akadémikus cím használatát – méltányossági okokból – felkínálni. Az akadémikusi teljesítmények felülvizsgálata nemzetközi és hazai tudományos szakértők bevonásával történjen.
- Az akadémikusságra, MTA doktorságra, bizottsági tisztségekre méltatlanok tiszteletdíj folyósítását le kell állítani, az MTA központi költségvetési finanszírozását felül kell vizsgálni, az új Akadémiai törvény céljának megfelelően kell kialakítani. Az akadémikusi díjazást (apanázs rendszerét) fel kell számolni. Az MTA tagság kizárólag erkölcsi, tudományos elismerést jelentsen, ne pedig kiegészítő jövedelemforrást.
- Jöjjön létre egy új tagságú és a jelenleginél kisebb létszámú új Magyar Tudományos Akadémia, kizárólag tudományos teljesítmény alapon. Az akadémikussá válás követelményeit az Országgyűlés és a tudós testületek által felállított hazai és nemzetközi szakértők állapítsák meg. Az új akadémiai szervezeti keretekre Akadémiai Törvényt kell alkotni.
- Széchenyi István szellemiségét megőrizve a Magyar Tudományos Akadémiát a magyar érdekek szolgálatába kell állítani. Megújulásával szolgálja a tudást, a nemzetet és az egyetemes tudományt. Célja legyen, hogy hozzájáruljon az ország gazdaságának, társadalmának fejlődéséhez, a családok életfeltételeinek javításához, a tudásának és a képességeinek fejlesztéséhez. Az akadémiai és a tudományos élet kapcsolatára, a jogok és kötelezettségek meghatározására kétharmados törvényt kell alkotni. Az Alaptörvényben és más kapcsolódó törvényekben a tudós testületek (MTA, MAB, HUN-REN, egyetemek) feladatait, működésük kereteit újra kell szabályozni.
- Az Akadémia új szervezeti vezetőit, az új akadémia tagokat a jövőben az MTA közel 18 ezres köztestületi tagsága válassza a nemzetközi standardok szerinti követelményeket teljesítők köréből, nem pedig másfél-két tucat jobbára teljesítményhiányos, azonos politikai nézeteket valló („összeszokott”) szakosztály közösség. A mintegy 18 ezres köztestületi tagság a magyar tudomány derékhada, akiket az akadémiai döntéshozatalba be kell vonni.
- Az Akadémia maradjon meg a magyar tudomány fellegvára, de jogait kizárólag a teljes köztestületi tagsága által gyakorolja.
- A magyar tudományos élet új bástyájává kell emelni a Magyar Akkreditáció Bizottságot. A tudományos teljesítmények mérésében és megítélésében az egyetemi tanárok kinevezésében az MTA befolyást teljes mértékben fel kell számolni. A professzorok kinevezése előtt vizsgált publikációs teljesítmények mérésénél az MTA által kiadott tudo
mányos folyóirat listákat figyelmen kívül kell hagyni. A MAB alkosson új tudományos folyóirat listát, és az eljárásaiban az egyetemi tanári, egyetemi, kari, doktori iskolai akkreditációk során ezeket alkalmazza. A jelenlegi, megtépázott akadémikusi tisztség és MTA doktori cím nem jelenthet előnyt az felsőoktatási intézmények oktatói karának teljesítményértékelésében.
-
Az egyetemek tudományos erőforrás központ jellegét indokolt tovább erősíteni. Az MTA jelenlegi tagjainak befolyását az egyetemi doktori képzésekben fel kell számolni. A MAB által megítélt professzori címek, majd a későbbiekben létrehozandó professzori kategóriák – a francia minta lapján – legyenek a magyar tudományos élet fokozatai. A MAB ennek bevezetésére dolgozzon ki feltételrendszert.
Je g y z e t e k
- https://qubit.hu/2019/10/28/megszabadulna-a-kormanyt-kritizalo-tudosoktol-freund-tamas-az-mta-lehetseges-uj-elnoke
- Különösen a történeti, társadalomtudományi, jogászi-közgazdászi akadémiai osztályok befolyása erős a 2025 nyaráig a HUN-REN Magyar Kutatási Hálózat égisze alatt működő kutatóintézeteknél. 2025 kora nyarán az Eötvös Loránd Tudományegyetem szenátusa kezdeményezésére ezek a kutatóintézetek (amelyek tagságát 2019-ban tal lóan minősítette Freund Tamás jelenlegi MTA elnök) átkerültek az ELTE-hez, a HUN-REN-nel kötött megállapodás alapján. Korábbról, mint ismeretes 2019-ben az MTA felügyelete alatt működő összes kutatóintézet irányítása az MTA-tól elvonásra került, s létrejött az Eötvös Loránd Magyar Kutatási hálózat. Az egykori ELKH-s, jelenleg HUN-REN-es társadalomtudományi, gazdasági kutatóintézetek - alapvetően a permanens teljesítményhiányuk miatt – kerülnek folyamatos felügyeletváltás alá. Freund Tamás 2019-ben nagyon jó diagnózist adott a működésükről, szinte előre vetítette a változásokat.
- A polgári kormány ipartelepítési politikáját, gazdaságpolitikáját rendre kritika alá veszik, populista - „tudománynépszerűsítő” írásaikban, interjúikban, de korábban a Bokros-csomag, a devizahitelezés elterjedése, és más liberális kormányokhoz köthető megszorító intézkedések ellen alig emelték fel a szavukat, sőt a támogatóik voltak.
- Nyilván a felhúzó hatás a nemzetgazdasági versenyképességre holisztikus megközelítésből ítélhető meg még ala- posabban, ám álláspontom, hogy a problémát a gyökerénél kell megragadni. A tudományos élet és az egyetemi képzés meghatározó bázisintézményénél, az MTA-nál, különösen a jogász és közgazdász akadémikusoknál, akik- nek a befolyása az egyetemi képzésekre, doktori iskolákra, de magára az MTA szellemiségére máig meghatározó. Lényegében az ő teóriáik, teljesítményük diktálja az egyetemi tananyagot, az elsajátítandó ismeretek körét, amely a gazdaságban, a munkaerőpiacon a munkaerő képességében, tudásminőségében, a kormányzati gazdaságpolitikához történő hozzáállásban jelentkezik.
- Az adatok https://www.imd.org/ nyilvános adataiból kigyűjtve.
- Ennek a tudásvolumen és minőség „lecsorgásnak” a felülvizsgálata zajlik, de még nem ért véget. Mint bemutatásra kerül, a társadalomtudományi akadémiai osztályok gyenge teljesítménye 2019-ig szinte lebénította a felügyeletük alatt működő kutatóintézeteket. Az első átszervezést követően, 2019-től a kutatóintézetekre a befolyásuk már csak közvetetten érvényesül, de jelentős. De az egyetemi képzések tartalmának befolyásolására még képesek az akadémikusok, ám e szerepük tovább mérséklése egyre égetőbb szükségszerűség, kifejezetten a társadalom-tudományok területén.
- E nemzetközi minőségi kategória fogalmát lásd bővebben: https://www.scimagojr.com/journalrank.php, http://editage.us/blog/guide-to-journal-rankings-what-are-quartiles-q1-q2-q3-q4-journal/
- A Scopus adatbázisokból kinyert információk alapján adódhat egy olyan akadémikusi ellenvélemény az általam leírtakra, hogy a kimagasló tudományos teljesítményeket elérő országok tudósai úgynevezett predátor lapokan publikálnak, amelyek nem mérvadók. A probléma az, mint bemutatásra kerül, hogy a magyar jogász és közgazdász akadémikusok pedig jóformán sehol nem publikálnak. Továbbá, a predátor szó kinyilvánítása olyan nemzetközi rangsorban lévő folyóiratokra, mind a Los Angeles-i 467-es H Indexű PlosOne tudományos periodikára, vagy a svájci MDPI által gondozott 207-es H Indexű Sustainability folyóiratra a magyar akadémikusok tájékozatlanságára vall. Kritikájuk szinte komikus voltát igazolja, hogy a magyar akadémikusok (közülük is csak páran) jobbára a magyar kiadású 21-es H Indexű Acta Oeconomicában és a 7-es H Indexű Public Finance Quarterly (jelenleg Corvinus Egyetemen kiadott) folyóiratban képesek írásaikat közzétenni. Ég és föld a presztízskülönbség az összevetett hazai és külföldi lapok között (amit a nagyságrendileg eltérő H Indexek egyértelműen kifejeznek), és ez által a teljesítményhiányos magyar és a versenyképes nemzetközi tudósok között.
- E nemzetközi minőségi kategória fogalmát lásd bővebben: https://www.scimagojr.com/journalrank.php, https://editage.us/blog/guide-to-journal-rankings-what-are-quartiles-q1-q2-q3-q4-journal/
- Lényegesen jobbak az élő- és élettelen tudományos osztályok akadémikusainak teljesítményei, mint a társadalomtudományok területén lévőké, ám ezen osztályok tagsága körében is tapasztalható egy erős differenciálódás. Vannak egészen kimagasló nemzetközi teljesítményeket elérő (orvosok, fizikusok, matematikusok, agrár akadémikusok), és van a középmezőny, kvázi a nagy magyar átlagnak megfelelőek, és vannak az osztályok egyharmadát kitevő nagyon alacsony teljesítményűek.
- Győrffy B, Nagy AM, Herman P, Török Á.: Factors influencing the scientific performance of Momentum grant holders: an evaluation of the first 117 research Scientometrics 2018;117(1):409-426. https://doi.org/10.1007/s11192-018-2852-1(0123456789().,-volV)(0123456789().,-volV) Győrffy B, Csuka Gy, Herman P, Török Á.: Is there a Golden Age in publication activity? – an analysis of age-related scholarly performance across all scientific disciplines. Scientometrics 2020;124:1081–1097. https://doi.org/10.1007/s11192-020-03501-w Győrffy B, Herman P, Szabó I.: Research funding: past performance is a stronger predictor of future scientific output than reviewer scores. Journal of Informetrics 2020;14:101050. https://doi.org/10.1016/j. joi.2020.101050 Munkacsy Gy, Herman P, Győrffy B.: Comparison of scientometric achievements at PhD and scientific output ten years later for 4,790 academic researchers. PLoS One 2022;17(7):e0271218. https://doi.org/10.1371/journal.pone.0271218, Győrffy B, Weltz B, Munkacsy Gy, Herman P, Szabó I.: Evaluating Individual Scientific Output Normalized to Publication Age and Academic Field Through the Scientometrics. org Project. Methodology 2022;18(4):278-297. https://doi.org/10.5964/meth.9463, Győrffy B, Weltz B, Szabó I.: Supporting grant reviewers through the scientometric ranking of applicants. PLoS One 2023;18(1): e0280480. https://doi.org/10.1371/journal.pone.0280480, Szluka P, Csajbók E, Győrffy B.: Relationship between bibliometric indicators and university ranking positions. Sci Rep 2023;13:14193. https://doi.org/10.1038/s41598023-35306-1
- Az aktualitásra és a teljeskörűségre tekintettel az értékelésben szerepel a 2024-ben elhunyt Ferge Zsuzsa professzor, de a 2025 nyár elején levelező taggá választott Szerb László is, aki a tudományterületének legkiválóbb kutatója. További elemzések alapját képezheti, hogy miért csak 2025-ben választották be az akadémikusi körbe.
- Figure 1A, in Győrffy, B., Weltz, B., Munkácsy, G., Herman, P., & Szabó, I. (2022). Evaluating individual scientific output normalized to publication age and academic field through the Scientometrics. org Project. Methodology, 18(4), 278-297. https://meth.psychopen.eu/index.php/meth/article/view/9463/9463.html
- Figure 1B in Győrffy, B., Weltz, B., Munkácsy, G., Herman, P., & Szabó, I. (2022). Evaluating individual scientific output normalized to publication age and academic field through the Scientometrics. org Project. Met- hodology, 18(4), 278-297. https://meth.psychopen.eu/index.php/meth/article/view/9463/9463.html
- Table 1 uo.
- Ezt más megvilágításba helyezheti, ha egy-egy akadémikus országos vagy nemzetközi fajsúlyú tudományos szervezet megszervezésére vagy irányítására vállalkozik, ami a publikációs tevékenységétől esetleg visszafogja.
- Lentner A Magyar Tudományos Akadémia megújításáért (I.). Polgári Szemle, 21. évf. 1–3. szám, 2025, 5–12., DOI: 10.24307/psz.2025.0501 https://polgariszemle.hu/aktualis-szam/1367-a-magyar-tudoma-nyos-akademia-megujitasaert
- Gazdasági Rádió (Trend FM) (2016) - https://www.youtube.com/watch?v=Euv7SAxWAKU Kossuth Rádió (2016) https://www.youtube.com/watch?v=sNlHFUaotxc Echo TV (2016) https://www.youtube.com/watch?- v=FH_3UmE0c8Y
- Lásd az MTA állásfoglalást: https://mta.hu/data/dokumentumok/ix_osztaly/KTB%20ALLASFOGLALAS%20-%202015%20DECEMBER%2010.pdf Az aktív állam-vezérelt gazdaságpolitika egyik fő teoretikusaként erős ellenvéleményt fogamaztam meg. Nehezményeztem, hogy az akadémiai fellépésre úgy került sor, hogy előtte (és időközben) az akadémikusok jelentős pénzügyi támogatásokat igényeltek (és kaptak) az MNB alapítványoktól könyv, külföldi utazási és kutatási projektjeikre, noha annak céljával nem értettek egyet. A konfrontációt mélyítette, hogy lényegében a több évtizedes tudományos munkásságom a neoliberális közgazdasági tanok átmenet nélküli és kizárólagos alkalmazásának módját helytelennek ítéli. 2010 előtt a kormányprogram egyik kidolgozója, majd 2010 után a közéletben, és a tudományos életben az egyik képviselője voltam, vagyok. Főbb műveim: Lentner Cs. Közpénzügyek és államháztartástan, 2013, Lentner Cs. Rendszerváltás és pénzügypolitika, Akadémiai Kiadó, 2016, Lentner Cs. A magyar állampénzügyek fejlődéstörténete a dualizmus korától napjainkig, 2019, (angolul 2020, francia kiadásban 2023, kínai kiadásban 2023).
- 2016-ban a Nemzeti Közszolgálati Egyetemen (is) ért támadás (a neoliberális akadémikusokkal történt ütközés után), amelynek következtében a felépített új típusú közgazdasági és állampénzügyi tanaimat és tantárgyaimat, tankönyveimet kivonták az államtudományi képzésből, Közpénzügyi és Államháztartástani Intézetemet felszámolták, vezetéséből visszahívtak. A támadások ellenére az Nemzeti Közszolgálati Egyetem kiállt mellettem. https://hirtv.hu/ahirtvhirei_adattar/nke-levalthattak-matolcsy-bizalmasat-1395874 Tevékenységem ezt követően az új Közpénzügyi Kutatóintézetben, majd 2021-től a Széll Kálmán Állampénzügyi Kutatóműhelyben zajlik, amelyek vezetője voltam, vagyok. A kormánytisztiviselői képzésben, kormánytisztiviselői szakvizsga tananyag jegyzésében folyamatosan fenntarthattam a pozícióimat, és 2025-től a Közigazgatás-tudományi Doktori Iskolában is újra megerősödött a szerepem. A 2016-os ellehetetlenítés idején a tanaim kétségbe vonója, aktív hátráltatója az NKE-n ugyanaz a személy volt, aki 2023-tól, a pályázatom visszavonása idején is, az MTA IX. osztályának elnöke.
- Lásd részleteiben tudományos publikációim és hivatkozásaim teljes kataszterét: https://m2.mtmt.hu/gui2/?type=authors&mode=browse&sel=10008404&view=pubTable
- Megtekinthető: https://wekerlealapitvany.hu/wekerle-sandor-tudomanyos-eletmudij
- Lásd: https://antk.uni-nke.hu/hirek/2018/08/21/allami-elismeresben-reszesult-az-akk-intezetvezeto-egyetemii-tanara , https://www.veol.hu/helyi-kozelet/2018/09/ader-janos-koztarsasagi-elnok-magas-allami-kituntetesben-reszesitette-lentner-csaba-kozgazdaszt
- https://antk.uni-nke.hu/karunk/cimek-kituntetesek/cimek-kituntetesek-antk https://ajk.kre.hu/index.php/1591-magyary-zoltan-emlekerem-kituntetesben-reszesult-lentner-csaba.html
- https://www.penz7.hu/hir-cshtml?hirId=69
- Baloldali, CEU-s történészeket vontak be, olyan akadémikus jelölteket, akiknek a pályázata a 2025-ös tavaszi akadémiai tagválasztás előtt állt (falmászáskutatót, volt szocialista kormánytagot, SZDSZ-es államtitkárt, a polgári kormány által diszkvalifikált, vagy a polgári kormánytól elpártoltakat, ). Álláspontom szerint olyanokat, akik az állampénzügyi szakterület megítélésére tudományterületi szempontból illetéktelenek, vagy a 2010 utáni kormányzás alatt véltvagy elszenvedett sérelmeik miatt objektív döntésre nem képesek. Bennem kizárólag a polgári kormány vezető elméleti teoretikusát látták, így a tudományos munkám objektív megítélésére képtelenek voltak. Pikantériája a koncepciós eljárásnak, hogy egy volt MSZP-s minisztert is bevonni terveztek, aki kb. jó egy évtized alatt tudta csak a PhD fokozatát megszerezni, sőt a tudományos munkáira még hivatkozás sem érkezett (egy helyreigazítás kivételével).
- Személyre szóló importálások (bizottsági behívások) történtek, egyedi megkeresések alapján, amelyről a történész bizottság elnöke nem is tudott. A transzparens eljárás feltételei ezen a téren sem álltak fenn.
- Heti Válasz Online (2025): https://www.valaszonline.hu/2025/04/01/mta-200-emlekules-tiltakozo-akademikusok/ majd egy „nem világos” részleges visszalépés, („ködös”) magyarázkodás történt 6 akadémikus részéről, amelynek tartalmát a Válasz Online sem értette. https://www.valaszonline.hu/2025/04/02/visszakozo-akademikusok-nem-is-akarnak-kivonulni-orban-latogatasakor - Álláspontom szerint azok az Orbán Viktort elutasító, illetve fenyegető tagok léptek vissza a korábbi döntésükből, akik (többségükben) állami intézménytől is jelentős javadalmazásban részesülnek. Megjegyzem továbbá, a polgári kurzus alatt magas állami kitüntetésekben és juttatásokban is részesültek. A 2025 tavaszi akadémikusi fenyegetés permanenciájaként és komolyságaként értelmezem néhány hónappal később az MTA IX. osztály jogi bizottsági tagjának alkotmányos rend megdöntésére irányuló nyomásgyakorlási felhívását: https://mandiner.hu/belfold/2025/09/az-elte-nema-maradt-buntetlenul-meguszta-sulyos-a-fenyegetozest-a-szelsoseges-fleck-zoltan - https://magyarnemzet.hu/belfold/2025/09/lanczi-tamas-az-mta-elnokenek-ne-engedje-magat-megfelemliteni
- A IX. osztály akadémikusainak Orbán Viktort diszkvalifikáló eljárását és annak minőségét jól kifejezi Kenesei István jelzős szerkezetes mondata: „Lapzárta után a karakán akadémikusok egy része meggondolta magát és helyreigazítást kért a Válasz Online-tól. Lásd továbbá Kenesei akadémiai légkörre, az átpolitizált tudományra vonatkozó teljes dolgozatát: https://www.es.hu/cikk/2025-04-04/kenesei-istvan/a-miniszter-felrelep-.html
- Az átpolitizált Magyar Tudományos Akadémiáról lásd Csaba László akadémikussal készült interjút: https://24.hu/belfold/2025/04/14/akademikus-vita-csaba-laszlo-az-orban-beszedrol/, https://hirklikk.hu/kozelet/jo-ha-a-torvenyhozok-erzekelik-hogy-az-orszag-elitje-nem-azonosul-azzal-ami-zajlik/444411 - Erre az ellenséges közegre, különösen a IX. osztály velem szembeni kirívóan ellenséges tagjaira (neolibeárlis teoretikusokra, volt szocialista-liberális miniszterekre, államtitkárokra) utaltam, amikor -5 év után – visszaléptem, nem kértem a pályázati eljárás folytatását, ezzel fellebbezési jogomról is Lásd: a 32. lábjegyzet alapján részletezve az indokokat.
- https://magyarnemzet.hu/belfold/2025/07/lentner-csaba-egy-arctalan-elnyomo-intezmeny-ellen-harcolok-2
- https://magyarnemzet.hu/belfold/2025/06/pokol-bela-magyar-tudomanyos-akademia, https://mandiner.hu/belfold/2025/05/az-mta-az-utolso-sztalinista-intezmeny, https://index.hu/kultur/2025/02/28/magyar-tudomany-hun-ren-mta-radnoti-sandor-voros-imre-akademikusok-akademiai-dolgozok-foruma/
- https://magyarnemzet.hu/belfold/2025/09/itt-az-ujabb-bizonyitek-teljesen-atlathatatlanul-valasztja-tagjait-a-magyar-tudomanyos-akademia, https://qubit.hu/2025/09/11/nem-meghurcolni-kellene- oket-hanem-orulni-hogy-itt- dolgoznak-egymas-utan-allnak-ki-a- tudosok-a- magyar-nemzet-altal-megtamadott-ket-kutato-mellett, https://magyarnemzet.hu/belfold/2025/09/ kutatok-hata-moge-bujva-terelne-el-a-figyelmet-a-hibas-tagfelveteli-rendszererol-az-akademia
- https://infostart.hu/interju/2025/09/10/gulyas-balazs-paradigmavaltas-kell-a-magyar-kutatasban-mert-a-hun-ren-teljesitmenye-elmarad-a-nemzetkozi-atlagtol
- Teszem ezt most a Polgári Szemle hasábjain, hiszen a polgári értelmiséget és a fiatal kutatókat felettébb érdekli az MTA akadémikusainak teljesítménye, összevetve az enyémmel, aki másfél évtizede e folyóirat főszerkesztője vagyok.
- Az openalex.org adatbázison végzendő vizsgálattól terjedelmi korlátok és technikai problémák miatt jelen dolgozatban Az akadémikusok teljesítményét meghaladó munkásságom így is (de akár ez által is) bizonyított, nyilvánvaló.
- Megemlítem, Szerb László levelező tagsága csak a pályázatom visszavonása után lett hatályos, tehát ő nem vett részt akadémikusként a pályázatom 5 éves diszkvalifikálásában. Szerb Lászlót – a vitatott – MTA vagyont kezelő testület elnökét, az Akadémiai Dolgozók Fórumának tagját 2025 közepén levelező akadémikussá választották. https://magyarnemzet.hu/belfold/2025/05/ellenallas-es-a-hatalomfeltes-a-magyar-tudomanyos-akademian
- Lásd például néhány jobbító szándékú közéleti megnyilvánulást: https://www.youtube.com/watch?v=JwOvA-1hnlBM - https://www.youtube.com/watch?v=MBTI8dYGT_0 - https://www.youtube.com/watch?v=MR-lQRTmUn-I -- https://www.youtube.com/watch?v=MR-lQRTmUn-I - https://magyarnemzet.hu/belfold/2025/06/pokol-bela-magyar-tudomanyos-akademia
- Lásd elsőként e dolgozat mottóját adó Freund Tamás akadémiai elnök 6 évvel ezelőtti véleményét.
- Például: Csaba László, Szentes Tamás és Zalai Ernő (2015): Mégis, kinek az Akadémiája? Magyar Tudomány 2015/9. száma https://real-j.mtak.hu/6151/9/2015-09.pdf - Írásunkban igyekeztek rámutatni az MTA-nál megjelenő bürokratikus kinövésekre, különösen azokra, amelyek gátolják a hatékony köztestületi munkát, és zavarják a teljesítmények értékelését. Vastag Gyula (2019): Habilitatio —Persona non grata: Ne habilittálj, publikálj! Statisztikai Szemle, évfolyam 5. szám 504—511. o. https://www.ksh.hu/statszemle_archive/2019/2019_05/2019_05_504.pdf ---- https://www.ksh.hu/statszemle_archive/2019/2019_05/2019_05_504.pdf -
- A lekérdezés időpontja, 09.15., az anonim jelöltekével egyetemben. https://m2.mtmt.hu/gui2/?type=authors&mode=browse&sel=10008404&view=pubTable https://m2.mtmt.hu/gui2/?type=authors&mode=browse&sel=10008404&view=pubTable
- 2025 tavaszán egy podcast műsorban egy Corvinus Egyetemet végzett, 40-es, 50-es éveiben járó befektetővel kerültem vitába. A magyar infláció egyik okaként elmondtam, hogy sok élelmiszert hozunk be, sok energiát, tehát alacsony az önellátási szintünk, amit „tetéz”, vagyis időként megdrágít a forint indokolatlan árfolyamromlása, ami pedig inflációt generál. A vitapartner ellenérve az volt, hogy a magas importon én miért aggódok, nem fontos az önellátás, a minél magasabb önellátási hányad, mert pl. Svájcban nem termelnek narancsot, mégis isznak narancslevet. Én úgy gondolom, hogy ez a vélekedés egy közgazdásztól tipikus lenyomata az elmúlt évtizedek eltúlzott neoliberális-globális szemléletű gazdasági oktatásának, amelyben a nemzeti érdekek, a nemzeti szempontok nem kaptak helyet. Az esettanulmányomban szereplő akadémikusjelöltek oktatási-publikációs tevékenységéből a podcast vita partnerem nemzetgazdaságról, világgazdaságról való felfogása egyenesen következik, különösen annak fényében, hogy a velem ellentétes gazdaságpolitikai felfogású akadémikusjelöltek egyetemén tanult. De nem jártam jobban azon álláspontom fogadtatásával sem, amikor a Trianon által szétszabdalt termelési vertikumok eleve hatékonyságot rontó, és ennek inflációt gerjesztő voltára utaltam. https://www.youtube.com/watch?v=CfJeli5dzGM , https://www.youtube.com/watch?v=CfJeli5dzGM




